KAMU İHALE KURULU KARARI
Toplantı No: 2026/004
Gündem No: 101
Karar Tarihi: 21/01/2026
Karar No: 2026/DK.D-25
Toplantıya Katılan Üye Sayısı: 8
Gündem Konusu: Sınır Değer Tespit Katsayısının Belirlenmesi
4734 sayılı Kamu İhale Kanununun 38 inci maddesinin son fıkrasında, Kamu İhale Kurumunun ihale konusu işin türü, niteliği ve yaklaşık maliyeti ile ihale edilme usulüne göre aşırı düşük tekliflerin tespiti, değerlendirilmesi ve ekonomik açıdan en avantajlı teklifin belirlenmesi amacıyla sınır değerler ve sorgulama ölçütleri belirlemeye, ihalenin bu maddede öngörülen açıklama istenilmeksizin sonuçlandırılabilmesine, ayrıca yaklaşık maliyeti 8 inci maddede öngörülen eşik değerlerin yarısına kadar olan hizmet alımları ile yapım işleri ihalelerinde sınır değerin altında olan tekliflerin bu maddede öngörülen açıklama istenilmeksizin reddedilmesine ilişkin düzenlemeler yapmaya yetkili olduğu hüküm altına alınmıştır.
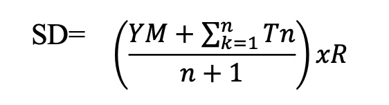
Bu hüküm çerçevesinde Kamu İhale Genel Tebliğinin 79.1.2 nci maddesinde personel çalıştırılmasına dayalı olmayan hizmet alımı ihalelerinde sınır değerin;
SD: Sınır değeri,
YM: Yaklaşık maliyeti,
n: İhalenin ilk oturumunda teklif mektubu ve geçici teminatı usulüne uygun olduğu anlaşılan ve teklif tutarı yaklaşık maliyetin yüzde 60’ından düşük ve yaklaşık maliyetten yüksek olanlar dışındaki isteklilerin teklif sayısını,
T1, T2, T3….Tn: İhalenin ilk oturumunda teklif mektubu ve geçici teminatı usulüne uygun olduğu anlaşılan ve teklif tutarı yaklaşık maliyetin yüzde 60’ından düşük ve yaklaşık maliyetten yüksek olanlar dışındaki isteklilerin teklif bedellerini,
R: Sınır Değer Tespit Katsayısını ifade etmek üzere;

Formülüyle hesaplanacağı; 79.1.3 üncü maddesinde ise 79.1.2 nci maddede yer alan R değerinin her yıl 1 Şubat tarihinden geçerli olmak üzere Kurum tarafından belirlenerek ilan edileceği ve gerekli görülen hallerde güncellenebileceği, ihalenin konusu veya işin niteliğine göre Kurum tarafından farklı R değerlerinin belirlenebileceği düzenlenmiştir.
Maddede düzenlenen formül incelendiğinde R katsayısının, yaklaşık maliyet ve teklifler veri kabul edildiğinde, sınır değerin bu verilerin aritmetik ortalamasından sapmayı ifade ettiği anlaşılmaktadır. Bu çerçevede 4734 sayılı Kanunun 38 inci maddesinin sağlıklı uygulanmasını sağlamak üzere, kamu alımları istatistikleri üzerinden 2024 ve 2025 yıllarında gerçekleşen personel çalıştırılmasına dayalı olmayan hizmet alımlarındaki yaklaşık maliyet, ihalelere sunulan fiyat teklifleri ve ortalama teklif sayıları dikkate alınarak ekteki hizmet grupları için 2026 yılında kullanılması öngörülen R katsayıları hesaplanmıştır.
Yukarıda yer alan tespit ve değerlendirmeler çerçevesinde;
1) İlanı veya duyurusu 1/2/2026 ve sonrasında yapılacak olan personel çalıştırılmasına dayalı olmayan hizmet alımı ihalelerinde sınır değer tespitinde ekte yer verilen R katsayılarının kullanılmasına,
2) Bu kararın Kamu İhale Genel Tebliğinin 79.1.3 üncü maddesi gereğince Kurumun resmi internet adresinde ve Elektronik Kamu Alımları Platformunda ilan edilmesine,
Oybirliği ile karar verilmiştir.
EK:1
PERSONEL ÇALIŞTIRILMASINA DAYALI OLMAYAN HİZMET ALIMI İHALELERİNDE SINIR DEĞERİN TESPİTİNDE KULLANILACAK
R KATSAYILARI (2026 YILI)
|
İhalenin Konusu* |
R Katsayısı |
|
Araç Kiralama Hizmetleri |
0,77 |
|
Bilgisayar Sistemlerine Yönelik Hizmetler |
0,87 |
|
Malzemeli Yemek Hizmetleri |
0,77 |
|
Mühendislik Hizmetleri |
0,72 |
|
Sigorta Hizmetleri |
0,74 |
|
Personel/Öğrenci Taşıma Hizmetleri |
0,78 |
|
Diğer Hizmetler |
0,78 |
* Birden fazla hizmet konusunu içeren işlerin ihalelerinde, yaklaşık maliyet içinde ağırlıklı olan konuya göre R katsayısı tespit edilecektir.